TinToll Performance Materials Co., Ltd.
TinToll Performance Materials Co., Ltd.
Poly[[6-[(1,1, 3,3-tétraméthylbutyle) amino]-1,3,5-triazine-2,4-diyl][(2,2, 6,6-tétraméthyl4-pipéridinyl) imino]-1,6-hexanediyl[(2,2, 6,6-tétraméthyl-4-pipéridinyl) imino]])

PowerStab™944

N ° CAS 71878, 70624-18-9(US)

Poly[[6-[(1,1, 3,3-tétraméthylbutyle) amino]-1,3,5-triazine-2,4-diyl][(2,2, 6,6-tétraméthyl4-pipéridinyl) imino]-1,6-hexanediyl[(2,2, 6,6-tétraméthyl-4-pipéridinyl) imino]])


Synonyme:

1,6-hexanediamine, N,N'-bis(2,2, 6,6-tétraméthyl-4-pipéridinyl)-, polymère avec 2,4 6-trichloro-1,3,5-triazine, produits de réaction avec 2,4 4-triméthyl-2-pentanamine


PowerStab™944 est un stabilisateur de lumière d'amine gêné polymère. Il a d'excellentes performances de stabilisation de la lumière en polyoléfines (section mince et épaisse), une faible volatilité et une excellente résistance à la migration.

TY_QT3 N ° CAS 71878, 70624-18-9(US)
Poly[[6-[(1,1, 3,3-tétraméthylbutyle) amino]-1,3,5-triazine-2,4-diyl][(2,2, 6,6-tétraméthyl4-pipéridinyl) imino]-1,6-hexanediyl[(2,2, 6,6-tétraméthyl-4-pipéridinyl) imino]])

Données techniques de PowerStab™944 CAS n ° 71878, 70624-18-9(US)

SynonymesChimassorb 944 LD, Omnistab LS944, 9440 de la lampe de collection, Sabostab UV94, Lowilite 94, Eversorb 91, Chiguard 944LD, EVERSTAB LS 944, 944 Chisorb.

Numéro CAS

71878-19-8 ou 70624-18-9

Numéro d'EINECS

615-678-9 ou 615-131-4

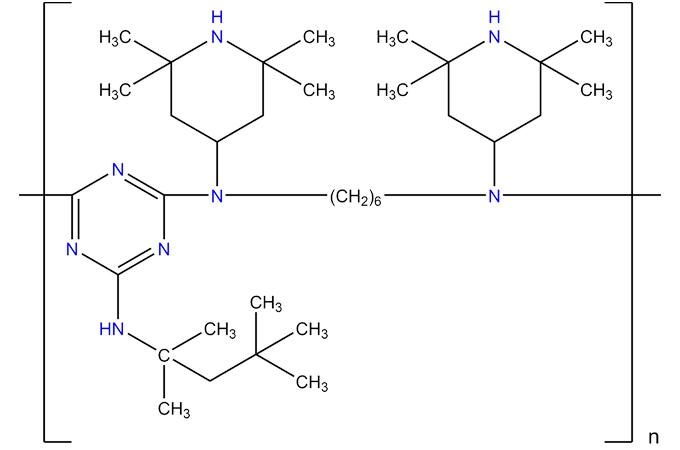
Structure chimique

poly 6 1,1,3,3 tetramethylbutyl amino 1,3,5 triazine 2,4 diyl 2,2,6,6 tetramethyl4 piperidinyl imino 1,6 hexanediyl 2,2,6,6 tetramethyl 4 piperidinyl imino

Formule chimique

(C35H68N8)N

Emballage

PowerStab™944 est fourni dans un sac PE de 25kg.

Note

Toutes les informations contenues dans le dépliant sont basées sur nos connaissances et notre expérience actuelles. Nous nous réservons le droit d'apporter tout changement en fonction des progrès technologiques ou des développements ultérieurs. La performance du produit décrit ici doit être vérifiée par des essais.


Nous rejetons spécifiquement toute autre garantie expresse ou implicite d'aptitude à des fins particulières ou de qualité marchande.


Nous déclinons toute responsabilité pour tout dommage accessoire ou consécutif.

Avantages et applications de PowerStab™944 CAS n ° 71878, 70624-18-9(US)

PowerStab™944 est un stabilisateur de lumière d'amine à entrave polymère (HALS) qui est efficace dans une large gamme de polymères et d'applications. LeStabilisateur UV HALSEst particulièrement utile dans les applications PE (moulage par injection, film et ruban), PP (moulage par injection, film et fibres), TPO, fibres de polyamide, PVC flexible et rigide, TPE styrénique, polyuréthane et applications adhésives spécialisées. Il convient également pour une utilisation dans le xylène XLDPE.

Propriétés physiques de PowerStab™944 CAS n ° 71878, 70624-18-9(US)

Apparence

Granule blanc à jaune clair

Gravité spécifique (20 °C)

1.01

Point de fusion (°C)

100-135

Point d'éclair (°C)

Min.150

Volatiles (%)

Max.1.0

Couleur de la solution 425nm (%)

Min.95

Couleur de la solution 450nm (%)

Min.96

Frêne (%)

Max.0.1

Solubilité de PowerStab™944 CAS n ° 71878, 70624-18-9(US)

Solubilité [20 °C]

% W/w

Acétone

> 50

Chloroforme

> 30

Éthanol

<0.1

Acétate d'éthyle

> 50

N-hexane

41

Méthanol

3

Chlorure de méthylène

> 50

Toluène

> 50

Eau

<0.01


Comment pouvons-nous vous aider?
Reqest un échantillon? Demander un devis? Question technique? Trouver un distributeur?
Recommandations Stabilisateur de lumière d'amine gêné
Poly[[6-[(1,1, 3,3-tétraméthylbutyle) amino]-1,3,5-triazine-2,4-diyl][(2,2, 6,6-tétraméthyl4-pipéridinyl) imino]-1,6-hexanediyl[(2,2, 6,6-tétraméthyl-4-pipéridinyl) imino]])