TinToll Performance Materials Co., Ltd.
TinToll Performance Materials Co., Ltd.
1,6-hexanediamine, N,N'-bis(2,2, 6,6-tétraméthyl-4-pipéridinyl)-, polymères avec morpholine-2 4,6-trichloro -1,3,5-triazine

PowerStab™3529

N ° CAS 193098

N,N'-Bis(2,2, 6,6-tétraméthyl-4-pipéridinyl)-1,6-hexanediamine avec morpholine-2 produits de réaction de 4,6-trichloro-1,3,5-triazine méthylés


PowerStab™3529 est un stabilisateur de lumière efficace de faible volatile. Il a une contribution de couleur minimale ainsi qu'une réactivité sélective.




TY_QT3 N ° CAS 193098
1,6-hexanediamine, N,N'-bis(2,2, 6,6-tétraméthyl-4-pipéridinyl)-, polymères avec morpholine-2 4,6-trichloro -1,3,5-triazine

Données techniques de PowerStab™3529 n ° CAS 193098

SynonymesUV-3529 Cyasorbe, UV-829.

Numéro CAS

193098-40-7

Numéro d'EINECS

N.A.

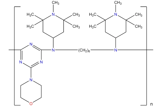
Structure chimique

1,6 hexanediamine, n,n' bis 2,2,6,6 tetramethyl  4 piperidinyl polymers with morpholine 2,4,6 trichloro  1,3,5 triazine

Formule chimique

(C33H60N8O)N

Poids moléculaire

11700 ± 10%

Emballage

PowerStab™3529 (CAS 193098) est fourni dans un tambour en fibre de 25kg de poids net avec une doublure en PE.

Note

Toutes les informations contenues dans le dépliant sont basées sur nos connaissances et notre expérience actuelles. Nous nous réservons le droit d'apporter tout changement en fonction des progrès technologiques ou des développements ultérieurs. La performance du produit décrit ici doit être vérifiée par des essais.


Nous rejetons spécifiquement toute autre garantie expresse ou implicite d'aptitude à des fins particulières ou de qualité marchande.


Nous déclinons toute responsabilité pour tout dommage accessoire ou consécutif.

Avantages et applications de PowerStab™3529 n ° CAS 193098

PowerStab™3529 a une bonne compatibilité avec les autresStabilisateurs HALSEt UVAs.


PowerStab™3529 est largement utilisé dans le PE, le PP, la polyoléfine, les films agricoles et le gazon.

Propriétés physiques de PowerStab™3529 n ° CAS 193098

Apparence

Off-blanc Poudre

Perte sur le séchage (%)

Max.0.5

Volatiles (%)

Max.0.5

Température de transition vitreuse (%)

88

Toluène Insoluble (%)

Max.0.25


Comment pouvons-nous vous aider?
Reqest un échantillon? Demander un devis? Question technique? Trouver un distributeur?
Recommandations Stabilisateur de lumière d'amine gêné
1,6-hexanediamine, N,N'-bis(2,2, 6,6-tétraméthyl-4-pipéridinyl)-, polymères avec morpholine-2 4,6-trichloro -1,3,5-triazine